📝 Ringkasan
Reka bentuk struktur bangunan moden tidak mengutamakan kebakaran walaupun piawaian moden seperti Eurocode 1 dan Eurocode 2 telah menyediakan garis panduan reka bentuk yang terperinci. Kebakaran moden lebih kompleks daripada yang dianggap sebelum ini, dengan intensiti kebakaran yang tidak mengikut lengkung masa-suhu piawai. Reka bentuk struktur bangunan perlu ditambah baik untuk menghadapi kebakaran moden, dengan mempertimbangkan faktor-faktor seperti jenis bahan binaan, cara pembinaan struktur, dan pengudaraan. Reka bentuk struktur terhadap beban kebakaran yang betul akan melibatkan keselamatan terhadap integriti, kestabilan, dan insulasi. Matlamat utama reka bentuk struktur terhadap beban kebakaran berasaskan prestasi adalah untuk mengurangkan risiko kepada nyawa, harta benda, dan alam sekitar. Reka bentuk struktur yang lebih tepat dapat mengurangkan risiko seperti runtuhan awal
Reka bentuk sturktur terhadap beban kebakaran masih tidak menjadi keutamaan walaupun reka bentuk piawaian moden seperti reka bentuk konkrit bertetulang Eurocode 1(EN 1991-1-2) dan Eurocode 2 (EN 1992-1-2) telah menyediakan garis panduan reka bentuk yang terperinci. Realitinya struktur bangunan moden jelas telah melalui pelbagai perubahan dalam penggunaan bangunan, saiz dan pengunaan bahan binaan baharu. Keadaan ini menghasilkan intensiti kebakaran yang lebih tidak mengikut lengkung masa–suhu (fire curves) yang piawai.
Dalam proses reka bentuk struktur bangunan, jurutera struktur lebih menumpukan kepada beban mati, beban hidup, angin dan gempa bumi, manakala beban kebakaran dianggap sebagai reka bentuk senario sekunder dan menganggap beban pembakaran yang berlaku dalam sesuatu ruang adalah seragam. Realitinya, reka bentuk struktur dan bangunan yang moden tidak semua beban kebakaran adalah bersifat tempatan (localized fire) dan dalam keadaan tertentu, ia tidak seragam (non-uniform thermal gradient).
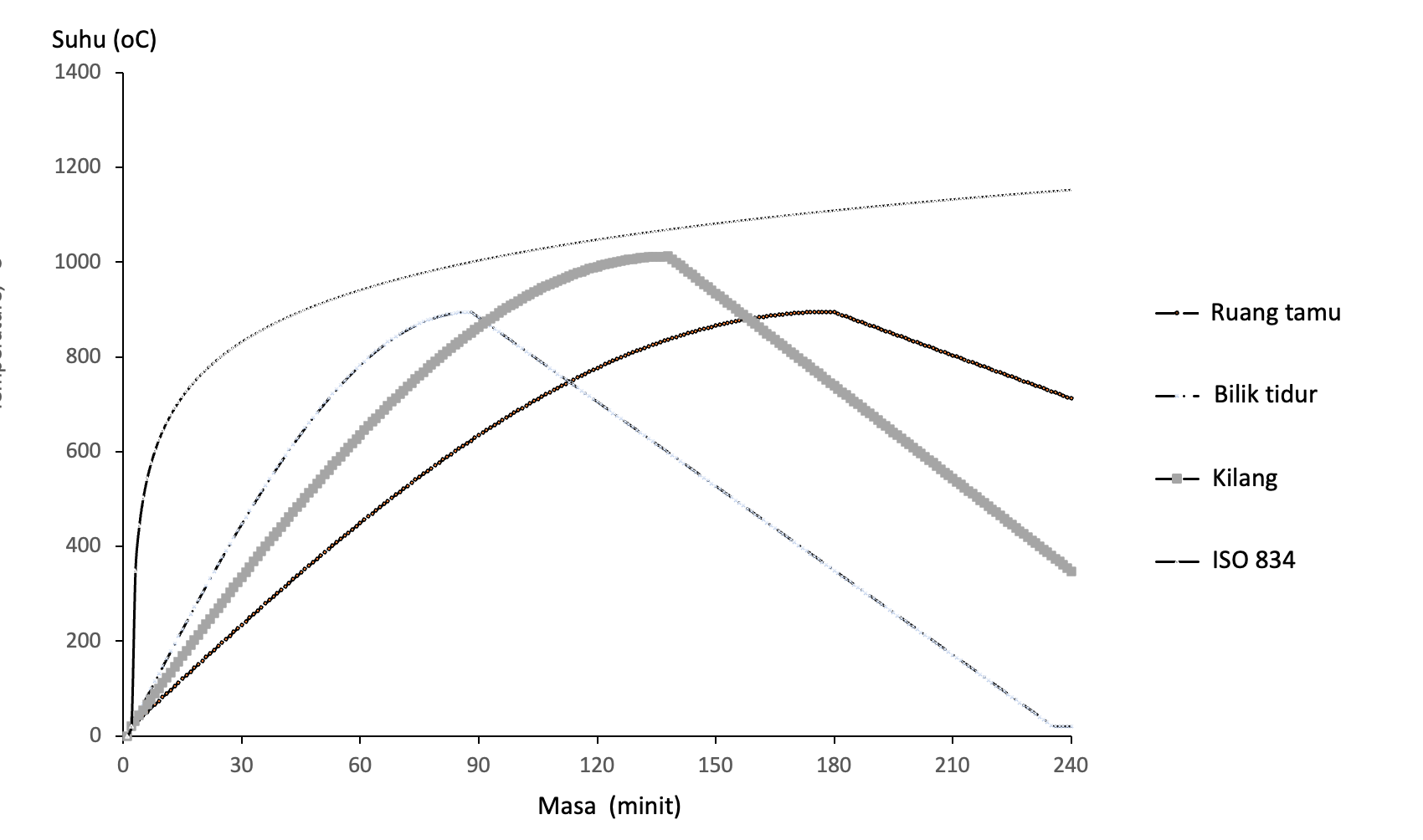
Ini kerana, beban kebakaran ini dipengaruhi oleh pengudaraan, bahan mudah terbakar dan geometri ruang. Beban kebakaran sebenar ini mengambarkan dua fasa penting, iaitu fasa pemanasan dan fasa penyejukan yang mana tidak dapat dilihat dalam lengkung masa–suhu (fire curves) yang piawai. Rajah 1 menunjukkan contoh lengkung masa–suhu (fire curves) berdasarkan nilai piawai ISO 834 dan lengkung masa–suhu parametrik dengan ciri pengudaraan yang berbeza jelas menunjukkan menunjukkan fasa pemanasan dan penyejukan yang lebih realistik.


Reka bentuk struktur terhadap kebakaran yang betul akan melibatkan keselamatan terhadap integriti, kestabilan dan insulasi seperti Rajah 2. Antara faktor kepada kegagalan struktur apabila berlaku kebakaran adalah jenis bahan binaan dan cara pembinaan struktur yang digunakan. Ini kerana apabila struktur terdedah kepada kebakaran akan menyebabkan perubahan komposisi bahan dan regangan termal menyebabkan agihan beban berlaku dan kesan restrained thermal expansion disebabkan nilai konduktiviti termal bahan yang berbeza. Ini akan menghasilkan momen tambahan yang besar dan menyebabkan kestabilan struktur berubah. Sewaktu kebakaran berlaku, struktur yang berbentuk kompleks, besar atau tinggi menghasilkan rintangan haba yang tinggi, fenomena travelling fire dan senario flashover yang lebih pantas.

Dalam reka bentuk Eurocode 1991-1-2 telah mengariskan kaedah untuk mereka bentuk struktur individu, sebahagian dari struktur dan struktur keseluruhan seperti dalam Rajah 3. Reka bentuk struktur terhadap kebakaran dilaksanakan dengan memgambil kira jarak kebakaran, mininum masa ringatangan kebakaran dan keperluan minimum keperluan kebakaran aktif and pasif. Beban kebakaran yang diguna pakai dalan analisis dan reka bentuk adalah lengkung masa-suhu piawai sebagai contohnya ISO 834.

Dengan perkembangan teknologi dalam bahan binaan, reke bentuk sturktur, banyak negara telah mengunakan kaedah Performance-based Structural Fire Design (PBD) yang mengambil kira pengunaan bahan dan teknologi reka bentuk yang terkini. Pada peringkat reka bentuk, nilai piawai berasaskan prestasi (performance) dengan mencadangkan penyelesaian yang boleh bersesuai dengan fungsi struktur dan mengunakan reka bentuk alternatif dengan mengambil kira matlamat prestasi reka bentuk struktur tersebut. Pematuhan kepada kod berasaskan prestasi boleh dicapai sama ada melalui kaedah preskriptif atau melalui reka bentuk berasaskan prestasi (PBD).
Matlamat utama reka bentuk struktur terhadap beban kebakaran berasaskan prestasi adalah untuk mengurangkan risiko kepada nyawa, harta benda dan alam sekitar. Antara objektif penting termasuk memastikan keupayaan galas beban dikekalkan bagi tempoh tertentu, mengehadkan penyebaran api dan asap dalam bangunan, menghalang api merebak ke bangunan bersebelahan, memastikan penghuni dapat keluar dengan selamat serta menjamin keselamatan pasukan penyelamat sepanjang operasi.
Matlamat reka bentuk struktur terhadap beban kebakaran merujuk kepada Performance-based Structural Fire Design adalah untuk memastikan perlindungan kebakaran terhadap struktur untuk mengurangkan risiko terhadap harta benda individu dan masyarakat dan serta alam sekitar dengan mengambil kira faktor seperti rintangan galas beban struktur dikekalkan untuk tempoh masa tertentu, penghasilan dan penyebaran api dan asap dalam bangunan adalah terhad, penyebaran api ke bangunan bersebelahan adalah dihadkan, penghuni dapat meninggalkan bangunan dalam tempoh yang di rancang dan selamat, serta keselamatan pasukan penyelamat sepanjang tempoh operasi penyelamatan.
Sebagai kesimpulan, peningkatan bilangan kebakaran pada bangunan di Malaysia memerlukan perhatian yang sewajarnya. Faktor struktur yang kompleks menyebabkan insensiti kebakaran yang berbeza perlu diambil kira dalam reka bentuk struktur moden. Reka bentuk struktur terhadap beban kebakaran perlu ditambah baik kerana perubahan dalam reka bentuk dan fungsi bangunan, bahan pembinaan menghasilkan intensiti kebakaran yang lebih kompleks.
Penambahbaikan dan kesedaran dari semua pihak termasuk pihak berkuasa tempatan, jurutera perlu ditingkatkan bagi reka bentuk terhadap beban kebakaran berdasarkan prestasi atau Performance-based Structural Fire Design (PBD). Kursus dan program akademik dan profesional di agensi dan universiti perlu ditambah baik seiring perkembangan teknologi dalam bidang pembinaan. Ini dapat menghasilkan reka bentuk yang lebih tepat bagi mengurangkan risiko seperti runtuhan awal, kegagalan yang progresif serta kecederaan dan kematian yang lebih buruk. Keadaan ini juga dapat mengurangkan kerosakan struktur dan memastikan bangunan boleh digunakan semula dengan cepat selepas kebakaran dan menyokong prinsip bangunan tahan lasak dan mampan.
Oleh Prof. Madya Ir Dr Mariyana Aida Ab Kadir, MIFire, Jab. Struktur dan Bahan, Fakulti Kejuruteran Awam, UTM Johor Bahru